Y2x2+z2
Expert Answer 80% (5 ratings) Previous question Next question Transcribed Image Text from this Question.
Y2x2+z2. Graph functions, plot points, visualize algebraic equations, add sliders, animate graphs, and more. Please Explain Step By Step. Y + 2x^2 + z^2.
Give a value for x and a value for z and get the value of y, you'll have a point. Pause the video and try it. Sketch The Surface Y=2x^2+z^2, By Determining The Shape Ofcross-sections Through The Traces.
Y + 2x^2 + Z^2. This problem has been solved!. Match the equation with its graph.
Surfaces and Contour Plots Part 2:. Explore math with our beautiful, free online graphing calculator. For example, when x = 2 and z = 2, the:.
Y = 2x2 + z2. Quadric surfaces are the graphs of quadratic equations in three Cartesian variables in space. For math, science, nutrition, history.
Show transcribed image text. Compute answers using Wolfram's breakthrough technology & knowledgebase, relied on by millions of students & professionals. I Tryed Doing This, I Got Z=0trace In The Xy-planey=2x^2 Which Is The Equation Of A Parabola X=0, Which Is The Trace In The Yz-planey=z^2 Which Is A Parabola Y=0 Which Is The Trace In The Xy-plane0=2x^2+z^2 Let Y=k2x^2+z^2=k Ellipse.
Q Tbn And9gcthbf0qy3qduzhnps Vatvxgtfvjok6bpyvcxsqoq 5lroszsuc Usqp Cau
How To Factor Math X Y 2 Z 2 Y Z 2 X 2 Z Y 2 X 2 Math Quora
X Y 2z 2 And X Y Z 2 Intersect On Line Find Point Closest P 1 2 1 Youtube
Y2x2+z2 のギャラリー
Find The Point On The Curve Y 2x 2 6x 4 At Which The Tangent Is Parallel To The X Axis Brainly In
Solved 8 Let W Be The Region Bounded By Y Z 2 Y 2x Chegg Com
How To Plot X 2 Y 2 Z 2 Mathematics Stack Exchange
Which Equation Is The Inverse Of Y 2x2 8 Brainly Com
Vector Analysis By Alimkanwalimtinaa Issuu
Find The Volume Of The Region In The First Octant Between The Planes X Y 2z 2 And 2x 2y Z 4 Study Com
Analytical Geometry Notes
Chapter 1 Maths 3
Find The Inverse Of The Function Y 2x 2 4 Brainly Com
25 Match The Equation Y 2x 2 Z 2 With Its Graph Labeled I Viii Toughstem
Solved 1 Y X 2 Z2 2 X 2 Y 2 Z 2 1 3 Y 2x 2 Chegg Com
Http Www Math Drexel Edu Classes Calculus Resources Math0hw Homework11 7 Ans Pdf
25 Match The Equation Y 2x 2 Z 2 With Its Graph Labeled I Viii Toughstem
How To Do Implicit Differentiation 7 Steps With Pictures
Surfaces
Solved Name And Sketch The Surfaces In Three Dimensions Chegg Com
Analytical Geometry Notes
Http Www Math Drexel Edu Classes Calculus Resources Math0hw Homework11 7 Ans Pdf
If X 2 Y 2 Z 2 2 X Y Z 3 What Is The Value Of 2x 3y 4z Quora
Arxiv Org Pdf 1604
Http Www Math Drexel Edu Classes Calculus Resources Math0hw Homework11 7 Ans Pdf
Chapter 1 Maths 3
3d Surface Plotter Academo Org Free Interactive Education
Surfaces Part 2
Finding The Value Of K If A Line Y 2x K Is A Tangent To A Circle X 2 Y 2 10x 0 Youtube
Answered 14 F X Y Z X Y 4z X Y Bartleby
Www Amherst Edu System Files Media S16m211 2529benedettofinal Pdf
Surfaces
Solved Find The Extreme Values Of F X Y Z 2x 3y Chegg Com
Find The Inverse Of The Function Y 2x 2 2 Brainly Com
How To Plot X 2 Y 2 Z 2 Mathematics Stack Exchange
Ex 6 3 15 Find Equation Of Tangent Line To Y X2 2x 7
Chapter 1 Maths 3
Calculus Iii Self Assessment B Exam 3 Chapter 14 Sanchez 97 3 4
Verify That X Y2 Z2 3xyz X Y Z X Y Y 2 2 Z X
Expand Each Of The Following Using Suitable Identities I X 2y 4z 2 Ii 2x Y Z Youtube
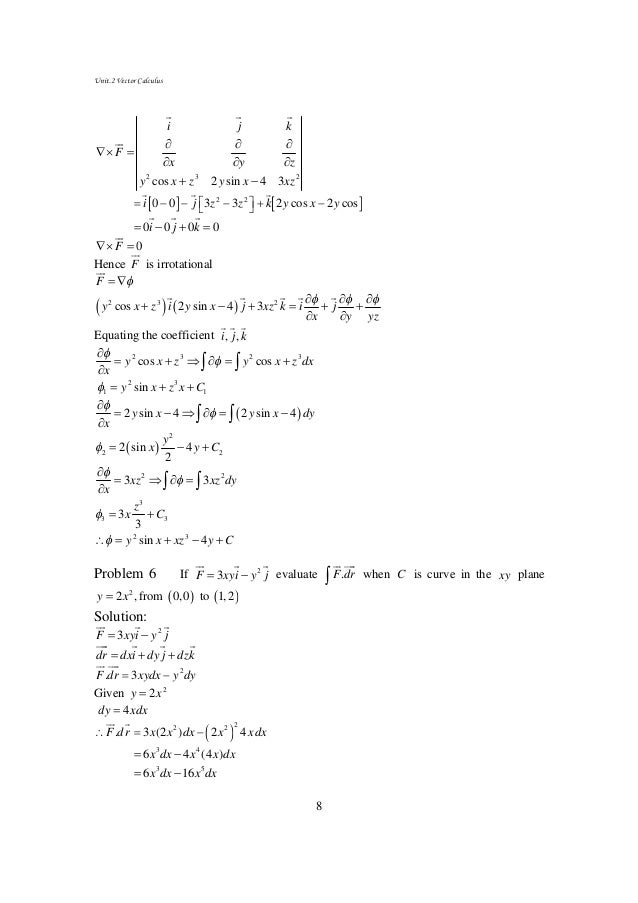
Unit 2
Surfaces
How To Factorise 2x 2 7x 15 Youtube
2x 3 Y 3z 5 X 2y Z 4 3x Y 2z 3 Youtube
Make 2x 2 Y 2 Z 2 X 2 2y 2 Z 2 X 2 Y 2 2z 2 Squares Fun With Num3ers
Solved Y 2x 2 Z 2 X 2 2z 2 1 Y 2 X 2 2z 2 Y Chegg Com
Which Graph Represents The System Of Equations Y 2x Y X 2 1 Brainly Com
Solved Match The Equation With Its Graph Labeled A F You Chegg Com
Example 28 Solve By Matrix Method 3x 2y 3z 8 2x Y Z 1 Examples
Level Surfaces
Math 6c Chapter 12 Quiz
Surfaces
Solved 28 Let W Be The Region Bounded By Y Z 2 2x Y X Chegg Com
Practical Math 253 Chapter 15 Set 2 And 3 Math 253 Studocu
Which Of The Following Graphs Is Described By The Function Given Below Y 2x2 6x 3 Brainly Com
Q Tbn And9gcq Hvqifbhjukxyxax0uz4v0ajavmdcy 03mqy8nozm59zdjhhf Usqp Cau
Verify The Divergence Theorem For The Vector Function F 2x 2y I Y 2 J 4xz 2 K Over The Region In The First Octant Bounded By Y 2 Z 2 9 X Z Study Com
Calculo Vectorial
Surface Area
Solving Y 2x 2 8x 3 Completing The Square Youtube
Solved Use Traces To Sketch The Surface Y 2z 2 2x 2 Chegg Com
Graphing 3d Graphing X 2 Y 2 Z 2 Intro To Graphing 3d Youtube
Math 2 Midterm 2
X 2 Y 2 Z 2 4 X Y 2 Y Z 4 X Z Scholr
Solve X Y Z 4 X 2y 2z 9 2x Y 3z 1 Brainly In
Solved Match The Equation With Its Graph Y 2x 2 Z 2 Chegg Com
Solved Match The Equation With Its Graph Labeled A F You Chegg Com
Ex 4 6 11 Solve Using Matrix Method 2x Y Z 1 X 2y Z 3 2 3y 5z 9
Solved Match The Equation With Its Graph Y 2x 2 Z 2 Chegg Com
Find The Intersection Of The Surface Z 2x 2 Y 2 With The X Y Plane Mathematics Stack Exchange
Solved Example 4 Find The Volume Of The Solid That Lies U Chegg Com
Surface Area
What Is The Equation Of Sphere Passing Through The Circle X 2 Y 2 Z 2 2x 3y 4z 6 0 And 3x 4y 5z 15 0 And Cuts The Sphere X 2 Y 2 Z 2 2x 4y 6z 11 0 Quora
What Are The Zeros Of The Function Y 2x 2 9x 4 Brainly Com
Solved Consider The Level Surface Given By 2x 2 5y 2 Z 2 Chegg Com
Solved Consider The Equation Below X 2 Y 2 Z 2 2x Chegg Com
How Do You Solve 2x 3y Z 1 3x Y 2z 12 And X 2y 3z 5 Socratic
Solve By Matrix Method 2x Y 2z 5 X Y Z 0 X 2y 3z 5 Mathematics Topperlearning Com 7qxy5agg
Which Of The Following Graphs Represents The Equation Y 2x 2 Brainly Com
Solved Y 2x 2 Z 2 X 2 2z 2 1 Y 2 X 2 2z 2 Y Chegg Com
Ex 4 6 13 Solve Linear Equations Using Matrix Method Ex 4 6
If The Lines Math X 1 2 Y 2 3 Z 1 4 Math And Math X 3 1 Y K 2 Z 1 Math Intersect Then The Value Of Math K Math Is Quora
If X 2 Y 2 Z 2 2 X Y Z 3 Find The Value Of 2x 3y 4z Youtube
Solved Match The Equations Of The Surface With The Graphs Chegg Com
Solved Reduce The Equation To One Of The Standard Forms Chegg Com
Solutions To Homework Assignment 4 Math Pdf Free Download
Solved Sketch The Surface X 2 4 Y 2 9 Z 2 1 Find The Equa Chegg Com
Surfaces
Solved Sketch On One Picture The Elliptic Cone Z 2 Y 2 Chegg Com
Tangent Plane To X 2 Xy Y 2 Z 0 Youtube
Find The Volume Of The Solid D Between The Paraboloids Z X 2 Y 2 And 12 2x 2 2y 2 Study Com
Which Of The Following Graphs Is Described By The Function Given Below Y 2x 2 8x 3 Brainly Com
Solved Consider The Equation Below X 2 Y 2 Z 2 2x Chegg Com
Solved Match The Equation With Its Graph Labeled A F You Chegg Com
Q Tbn And9gcszy9anah1fgl2fzwdcxs0ejqwlrgazbblfjv7ot5w Owqpytsc Usqp Cau
F X Y Z 2x 2y Z 2 S Cylinder X 2 Y 2 Chegg Com
Answered Graph The Ordered Pairs For Y 2x 4 Bartleby
Which Equation Can Be Simplified To Find The Inverse Of Y 2x 2 Brainly Com
Solved Solve 2x Y Z 1 X 4y Z 2 3x Y 2x Chegg Com
Surfaces Part 2
People Whitman Edu Hundledr Courses M225s09 Exam2quessol Pdf
Surfaces Part 2
Solutions To Implicit Differentiation Problems
Solved Find Points Where The Function F X Y 2x 2y Chegg Com


